建筑物从建材原料开采到寿命完结,时间周期长,产业链长,为保证在建筑碳排放计算过程中,不出现与建材工业碳排放计算、交通运输碳排放计算等重叠,需对建材生产及运输、建造及拆除、建筑物运行3个阶段有明确的边界划分,建筑物碳排放计算应根据不同需求按阶段进行计算,并可将分段计算结果累计为建筑全生命期碳排放。
GB / T 51366 - 2019《建筑碳排放计算标准》给出了建筑碳排放计算方法,适用于新建、扩建和改建民用建筑的运行、建造及拆除、建材生产及运输阶段的碳排放计算。
建筑运行阶段碳排放计算是项目可行性研究报告、建设方案和初步设计文件应给出的,其计算范围应包括暖通空调、生活热水、照明及电梯、可再生能源、建筑碳汇系统在建筑运行期间的碳排放量。
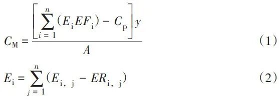
建筑运行阶段碳排放量应根据各系统不同类型能源消耗量和不同类型能源的碳排放因子确定,建筑运行阶段单位建筑面积的总碳排放量(CM)应按下列公式计算:


从公式(1)和公式(2)看出,建筑运行阶段单位建筑面积的总碳排放量(CM)包括电力、燃气、石油、市政热力等产生的碳排放量,需要各专业协同完成。建筑电气专业要完成的是电力年消耗量,根据电力碳排放因子计算出电力年碳排放量;如果项目采用了光伏发电等可再生能源,还需计算可再生能源系统提供能源量。把上述计算结果与暖通空调、生活热水碳排放量汇总,再考虑建筑绿地碳汇系统年减碳量(Cp),即可完成总碳排放量(CM)计算。
建筑绿地碳汇系统年减碳量(Cp)是指在划定的建筑物项目范围内,绿化、植被从空气中吸收并存储的二氧化碳量,其减碳效果要在碳排放计算结果中扣减。绿化植被减碳量受气候、生长环境、绿植种类、维护情况等因素影响,目前针对建筑绿化植被碳汇方法学尚无官方方法学发布,农林业已经开发相关的计算方法,例如国家林业局印发的《造林项目碳汇计量与监测指南》等,可参照上述相关文件计算。这部分计算不是建筑电气专业要完成的,应由建筑专业或园林专业根据绿化率、绿化品种等计算完成。
从公式(1)和公式(2)可知,要计算电力碳排放量,首先要计算电力能耗量,电力能耗量是电力碳排放量计算的基础。
>>>> 电力负荷曲线
x轴表示时间t,y轴表示有功功率P,以30 min为时间间隔,把30 min平均负荷绘制出来,30 min平均最大负荷即为有功计算负荷Pjs,如图1所示。平均有功负荷Ppj与有功计算负荷Pjs的比值定义为平均负荷系数α,负荷曲线所包围的面积即为有功电能W;如t值取24 h,负荷曲线即为日有功负荷曲线;如t值取8 760 h(24 h × 365 d),负荷曲线即为年有功负荷曲线,年有功负荷曲线所包围的面积即为年有功电能Wy,如图2所示;图2所示的有功电能Wy可等效为图3。

>>>> 电能计算的基本方法
从图2和图3可分析出,年有功电能Wy按下式计算:
Wy = αav PjsTn (3)
式中:αav —— 年平均有功负荷系数,一般取0.7 ~ 0.75;
Pjs —— 有功计算负荷;
Tn——年实际工作小时数。
各类建筑的年实际工作小时数Tn可参考国标图集11CD008-4《固定资产投资项目节能评估文件编制要点及示例(电气)》选取,见表1。

需要说明的是,公式(3)是电能计算的基本方法。此方法在电气行业已使用几十年,在《工业与民用配电设计手册》(第1 ~ 3版)以及其他配电手册或供配电类教科书等,都采用此计算方法。此计算方法的理念是年平均负荷系数基本确定(0.70 ~ 0.75),年实际工作小时数(Tn)需根据不同的建筑取值,Tn可以理解为按年平均负荷系数0.70 ~ 0.75确定的有功平均负荷持续工作的时间;《工业与民用供配电设计手册》(第4版)提出了与此不同的计算方法,是把年实际工作小时数(Tn)固定为8 760 h(24 h × 365 d),而年平均负荷系数需要根据不同的建筑物取值。其实两种计算方法并没有本质不同,年有功电能(Wy)就是图2所示的年有功负荷曲线所包围的面积,不过大家更习惯公式(3)的计算方法。
按GB / T 51366 - 2019规定,建筑运行阶段电力碳排放计算范围包括照明、电梯、可再生能源,变配电、建筑内家用电器、办公电器、炊事等受使用方式影响较大的建筑碳排放不确定性大,这部分碳排放量在总碳排放量中占比不高,不影响对设计阶段建筑方案碳排放强度优劣的判断,国际上通用做法是建筑碳排放计算不纳入家用电器、办公电器、炊事等的碳排放量。
>>>> 照明系统能耗计算
照明系统无光电自动控制系统时,其能耗计算可按下式计算:

在可行性研究报告、建设方案和初步设计阶段,特别是可行性研究报告阶段,采用公式(4)计算比较繁琐且有一定困难,因此阶段各类房间的面积和数量等还不能准确确定;此时可按公式(3)的方法计算,根据照明功率密度值、照明需要系数、年平均负荷系数、每天工作小时数和年运行时间进行计算。
>>>> 电梯系统能耗计算
电梯系统能耗应按下式计算,且计算中采用的电梯速度、额定载重量、特定能量消耗等参数应与设计文件或产品铭牌一致:

式中:Ee —— 年电梯能耗,kWh / a;
P —— 特定能量消耗,mWh / kgm;
ta —— 电梯年平均运行小时数,h;
V —— 电梯速度,m / s;
W —— 电梯额定载重量,kg;
Estandby —— 电梯待机时能耗,W;
ts —— 电梯年平均待机小时数,h。
与照明系统能耗计算类似,在可行性研究报告、建设方案和初步设计阶段,采用公式(5)计算有一定困难,因此阶段电梯的特定能量消耗、电梯速度、电梯额定载重量、电梯待机时能耗等还不能准确确定;此时可按公式(3)的方法计算,根据电梯额定功率、电梯需要系数、年平均负荷系数、每天工作小时数和年运行时间进行计算。
>>>> 可再生能源系统发电量计算
a. 光伏系统的年发电量可按下式计算:

b. 如果项目采用了风力发电机组,风力发电机组年发电量可按GB / T 51366 - 2019公式4.5.6计算,在此省略。
>>>> 电力碳排放因子及电力碳排放量计算
通过上述照明系统能耗、电梯系统能耗、可再生能源发电量等计算结果,选择电力碳排放因子,就可计算出电力碳排放量。
所谓碳排放因子,是将能源与材料消耗量与二氧化碳排放相对应的系数,用于量化建筑物不同阶段相关活动的碳排放。电力碳排放因子应采用由国家相关机构公布的区域电网平均碳排放因子。表2是2012年中国区域电网平均CO2排放因子。

随着科学技术的不断进步,我国电力碳排放因子逐年下降,从2001年的0.773 kgCO2 / kWh已下降到2015年的0.553 kgCO2 / kWh。现阶段电力碳排放因子可采用0.553 kgCO2 / kWh;未来当数据有更新时,应选用国家主管部门最近年份公布的数据。